RFM analysis (recency, frequency, monetary) in Hospitality
Segmentation
RFM
Problems
- How to create an efficient campaign to get more attention from previous guests?
- Can we identify our guest behaviour to create efficient flow?
- How to identify potential returning guest?
- How to identify the loyal guest from their activity?
- How to identify our guest to increase customer retention and lifetime value?
- Can we create a personalization services for our guest?
Targeted Marketing

Goals
- Guest segmentation can helps us to create an efficient campaign for better target marketing.
- Guest segmentation can assist in many of those aspects – reducing churn, offering upsells and cross-sells to segments that are more likely to respond, increasing loyalty and referrals, selling high ticket items and more.
- Guest segmentation can minimize marketing costs and improve Rol.
- Guest segmentation for remarketing / retargeting campaigns.
- Guest segmentation can helps us to understand our business better.
Two Different Techniques to solved the issues.
Description
- What is the output?
- Groups of guests that have the same characteristics based on past behaviour.
- How could we use it?
- We could iterate products for segments that are build on top of descriptive output.
- What do we need? historical data
Prediction
- What is the output?
- Predict future value of each guests. The value is defined as target value.
- How could we use it?
- We could iterate products for segments that are build on top of Predicted future output.
- What do we need?
- historical data
- Target variable
Description —> RFM analysis
| Questions | Meaning |
|---|---|
| WHAT | It is a proven marketing model for behaviour based guest segmentation |
| HOW | It groups customers based on their transaction history – how recently (Recency), how often (Frequency) and how much did they buy (Monetary) |
| WHY | Judging guest value on just one aspect will give an inaccurate report of the guest base and their lifetime value |
| WHEN | If there are sufficient guests and transactions and there is initiation to create efficient campaign |
| WHO | Marketing, revenue and finance division |
RFM analysis
We use past guest behaviour to differentiate/segment similar guests into one group.
What metrics we could use to segment guests? It could be driven by business processes. i.e. Recency, Frequency and Monetary, or we can use Promo, Duration, Engagement.

Marketing Activities

How to define the number of segment?

How much segments that we need?
It depends on the type of business that is running
as example:

Now, What We Have?

What We Found?

Quantiles selection
With Quantiles selection method we found there are 7 segments from our data.
Quantiles = 0.2 , 0.5 , 0.8


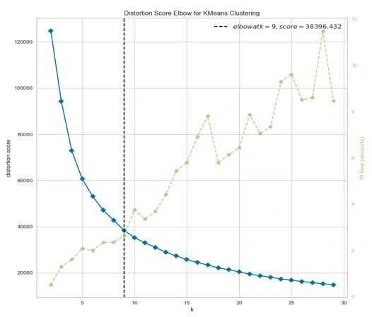
K-mean
from K-mean method, we found that there are around 8 - 10 segments.
evaluation score:
- elbow ~ 9 segments
- silhouette ~ 8 segments
- Calinski - harabasz ~ 4 segments
- Davies Bouldin ~ 8 segments
- BIC ~ 10 segments
the main purpose of all evaluation values is to minimize intra-cluster value and maximize extra-cluster value

Result from K-mean with 8 segments.



Interpretation

What next?
the treatment
we can continue to create intervention segmentations base on guest segmentation criteria.
i.e. assign a treatment to some segments like:
- Activation
- Create brand awareness
- Offer Membership / Promo / Reward
- Make limited time offers
- Upselling / Cross-selling
- Upsell higher value products
- Create brand awareness
- Churn prevention
- Recommend popular products
- Renewals at discount
- Send personalized emails to reconnect

A/B Testing



More variables
Objective: Combine with other guest variables to make clearer interpretation.
- Age
- Gender
- Area
i.e. with those variables we can explain more about guest behaviour and can create more clear decision treatment to some segments
Prediction
It learns the function that maps an input to an output based on example input-output pairs.
Action Items
Objective: Determine how much segment that we need and what treatment that we give to them
need some advice from marketing and product team about:
- How much segment that we need
- What treatment we will give to them
- How often we will conduct this calculation
- How to get the result (metabase?)